BabhanBhumihar.com

South Asian Genetics

NOTE : Reading this section is necessary to understand the sections about Bhumihar Genetics below

Over the past few years, genetic research has advanced rapidly, and major laboratories and universities have carried out large-scale studies to understand how different ethnic, caste, tribal and national groups are related and distinct from each other in India and around the world.

Reconstructions of ancient populations
Reconstructions of the physical appearances of the ancient populations that constitute the ancestral components of modern Indians

Researchers now describe a characteristic South Asian genetic cline or gradient and within this wider South Asian gradient, many endogamous communities form their own unique gradients and relatively tight genetic clusters, often with strong founder effects and high levels of internal relatedness compared with more outbred populations.

As a result, numerous castes and tribes in South Asia can be seen as having their own local genetic substructures or “micro-gradients” nested inside the broader South Asian gradient.

South Asians broadly have 3 major ancestries according to the Harvard University research. Their names and brief characteristics are given below. Understanding these terms will be helpful in comprehending the ancestry/ancestral component breakdowns of Bhumihars given in the next section

Reconstructions of ancient populations
Reconstructions of the physical appearances of the ancient populations that constitute the ancestral components of modern Indians
# Component Mainly Associated With
1 Steppe_MLBA Late Bronze Age steppe pastoralist populations (Sintashta/Andronovo-like), Indo-Iranian/Indo-European–linked movements into South Asia in the 2nd millennium BCE, and a substantial part of the ancestry of many Indo-Aryan–speaking and some higher-caste groups. These people are credited to have likely brought the Indo European language family into South Asia
2 IVC (Indus-related / Indus Periphery) People of the Indus Valley Civilization and surrounding regions, a mixture of Iran-related early farmer ancestry and South Asian hunter-gatherers, and the largest single ancestral layer feeding into both ANI and ASI-rich populations across South Asia
3 AASI (Ancient Ancestral South Indian) The local, native South Asian hunter gatherer ancestry that predates farming and steppe migrations and contributes substantially to many present day South Asian groups
4 AHG (Andamanese Hunter Gatherers) AASI-Like, similar as 3rd row A proxy source based on Andamanese genomes representing AASI like (native South Asian hunter gatherer) ancestry in qpAdm models, used to approximate the indigenous Indian component in studies such as those by Lomous Kumar

Bhumihar Genetics according to the Harvard University & David Reich research & other studies

1. Harvard University’s professors and 114+ genetic scientists from across the globe conducted the most extensive and detailed genetic research on Indian castes & tribes, headed by David Reich, world’s leading geneticist and the director of David Reich Lab at the Harvard University This research, “The formation of human populations in South and Central Asia”, highlighted several points about Bhumihars :

(A) “Steppe ancestry in modern South Asians is primarily from males and disproportionately high in Brahmin and Bhumihar groups"

Steppe ancestry comparison

(B) “Groups that traditionally view themselves as being of priestly status (Brahmin, Pandit, and Bhumihar) tend to have a significantly higher ratio of Central_Steppe_MLBA to Indus_Periphery_Cline ancestry than other groups”

Ratio comparison

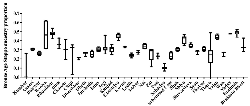
2. Bronze age Steppe ancestry proportion is higher in Bihari Bhumihars compared to other caste groups such as Kshatriyas, Kurmis, Tharus, Srivastavas, Yadavs, Nais, Thakurs, and Brahmins sampled in the research.

Comparision boxplots Source : The story of the lost twins: decoding the genetic identities of the Kumhar and Kurcha populations from the Indian subcontinent - BMC Genomics, 2020

3. Bihari Bhumihars having higher Eastern European Hunter Gatherer, Western Steppe and Central Steppe than other groups like Kambojs, Dogras, Haviks and Brahmins sampled in the research. This research showed results of 3 different models.

Model results 2020 Source: Dissecting the genetic history of the Roman Catholic populations of West Coast India - Human Genetics, 2021

4. Bhumihars have higher Steppe_MLBA ancestry than other groups like Kambojs, Gujjars, Nairs, Brahmins, Dogras, Srivastavas, Reddys, Yadavs, Bunts etc sampled in the research.

Model results 2021 Source: Genetic affinities and sub-structuring in Coorg population of Southern India - bioRxiv preprint, 2022

5. Bihari Bhumihars again found to be having higher Steppe_MLBA ancestry than other groups like Kambojs, Gujjars, Nairs, Brahmins, Dogras, Srivastavas, Reddys, Yadavs, Bunts etc sampled in yet another research.

Model results 2022 Source: Genetic Affinities and Adaptation of the South-West Coast Populations of India - Genome Biology and Evolution, 2023

qpAdm runs of Bhumihar raw DNA files

Note: qpAdm is a professional tool that calculates what percent of a group’s DNA comes from a few chosen ancestral groups (like AASI, Indus Valley Civilisation, Steppe). It is routinely used in major peer-reviewed studies by researchers and is considered the industry standard.

Several genetics hobbyists and enthusiasts have ran the publicly available raw DNA files of individuals belonging to various Indian castes and the ancestries of Bhumihars according to those runs are as follows:

Population Region Total samples (N) AASI% IVC% Steppe_MLBA%
Bhumihar_Bihar Muzaffarpur, Bihar 7 32.68 36.12 31.2
Bhumihar_UP Jaunpur, Uttar Pradesh 8 34.83 36.47 28.7
qpAdm Run Results (This run was done by the Twitter user x.com/vicayana)

Link of the qpAdm output files of Bhumihars:
View Drive Folder

Link of the spreadsheet for other castes, including Bhumihars:
View Spreadsheet

Another qpAdm run by an enthusiast

Brahmin Ganga qpAdm Run Table
Metric India_M (AASI) IndusFarmer (IVC) Steppe_MLBA HG : Farmer Ratio
Average (Bhumihar, n = 14) 33.31% 35.36% 31.32% 0.485

On average, Bhumihars ( Total samples = 14) derive about 33.31% of their ancestry from AASI (Ancient Ancestral South Indian), 35.36% from IndusFarmer (IVC‑related), and 31.32% from Steppe_MLBA

An outlier sample of Bhumihar, having 37% Steppe ancestry, 5-6 percentage points higher than the average Steppe ancestry found in Bhumihars. Outlier Sample qpAdm Output (qpAdm Outcomes) Outlier Sample qpAdm Rotations (qpAdm Rotations)

Genetically Closest Populations to Bhumihars

Although genetic data are available for 20 Bhumihars, comparative data on the closest populations are currently available for only three individuals: one from eastern Uttar Pradesh; one whose father is from eastern Uttar Pradesh and mother from Bihar; and one whose ancestry is entirely from Bihar.

The closest population other than Bhumihars that they got in their genetic tests were Brahmins from Awadh and Eastern Uttar Pradesh, while the Rajputs usually tend to always be genetically distant or different from Bhumihars.

Their results are posted on the subreddit r/southasianancestry on Reddit, the photos below contain their usernames as well.

This section will be updated as new results are available.

Sample 1 :
Sakarwar Bhumihar

Closest population: Brahmin (Uttar Pradesh)

Sample 1 - Image 1
Sample 1 - Image 2
Sample 1 - Image 3
Sample 1 - Image 4

Sample 2 :
East UP Bhumihar

Closest population: Awadhi_Brahmin_Saryupareen

Sample 2 - Image 1
Sample 2 - Image 2

Sample 3 :
Paternal-UP, Maternal-Bihar

Closest population: Brahmin (Uttar Pradesh)

Sample 3 - Image 1
Sample 3 - Image 2

Phenotype Research on Bhumihars

There are 2 research papers published so far, on the phenotype or MI (Melanin Index) of castes found in the Gangetic plains. [6] Skin Pigmentation Diversity in Central East Indian Populations and its Correlation with Mitochondrial Haplogroups Go to References

Melanin Index measures skin complexion or pigmentation, lower Melanin index corresponds to lighter skin tone, or fairer complexion, while higher MI (Melanin Index) indicates presence of more melanin, therefore darker skin.

Bhumihar's MI or the Melanin Index was found to be the lowest amongst all the castes in Bihar and Central-East Uttar Pradesh. [6] Skin Pigmentation Diversity in Central East Indian Populations and its Correlation with Mitochondrial Haplogroups Go to References

Given below is the table containing the average MI (Melanin Index), Sample Size and Caste Category of castes from the Gangetic Plains from the RESEARCH PAPER, Sample size of most of the castes in this research is given in the table and seems sufficiently large.

Melanin Index Table 1 Melanin Index Table 2

References

ID Research Paper Link
[1] The formation of human populations in South and Central Asia
[2] The story of the lost twins: decoding the genetic identities of the Kumhar and Kurcha populations from the Indian subcontinent
[3] Dissecting the genetic history of the Roman Catholic populations of West Coast India
[4] Genetic affinities and sub-structuring in Coorg population of Southern India
[5] Genetic Affinities and Adaptation of the South-West Coast Populations of India
[6] Skin Pigmentation Diversity in Central East Indian Populations and its Correlation with Mitochondrial Haplogroups